[DACON/๊น๊ท๋ฆฌ] ๋ถ๋ฅ ๋ชจ๋ธ ์์๋ณด๊ธฐ
1. ๊ฐ์
Classification(๋ถ๋ฅ)?
- Supervised learning(์ง๋ํ์ต)์ ์ผ์ข ์ผ๋ก ๊ธฐ์กด ๋ฐ์ดํฐ์ ์นดํ ๊ณ ๋ฆฌ ๊ด๊ณ๋ฅผ ํ์ ํ๊ณ , ์๋กญ๊ฒ ๊ด์ธก๋ ๋ฐ์ดํฐ์ ์นดํ ๊ณ ๋ฆฌ๋ฅผ ์ค์ค๋ก ํ๋ณํ๋ ๊ณผ์
- ์์๋ก ๋ฌธ์๋ฅผ ํ๋ณํ ๋, ์คํธ์ธ์ง ์๋์ง ๋ถ๋ฅํ๋ ๊ฒ๊ณผ ๊ฐ์ ๋จ์ผ๋ถ๋ฅ ๊ทธ๋ฆฌ๊ณ ์๋ฅ ์ ์๊ฐ ๋ช ๋ฑ๊ธ์ ์ํ๋์ง ํ๋ณํ๋ ๋ค์ค๋ถ๋ฅ๊ฐ ์์
* cf) ๋น์ง๋ ํ์ต์ clustering : ๋ค์ค๋ถ๋ฅ์ ์ ์ฌํ์ง๋ง, ๋ค์ค๋ถ๋ฅ๋ ์นดํ ๊ณ ๋ฆฌ์ ๋๋ฉ์ธ์ด ์ ์๋์ด์๋ค๋ ์ ์์ ํฐ ์ฐจ์ด์ ์ ์ง๋๋ค
Classification(๋ถ๋ฅ) ์๊ณ ๋ฆฌ์ฆ
- ์ผ๋ จ์ ๋ฐ์ดํฐ๊ฐ ํฌํจ๋๋ ๊ธฐ์กด ์นดํ ๊ณ ๋ฆฌ๋ค์ ํ์ตํ๊ณ , ์ด๊ฒ์ ๊ธฐ๋ฐ์ผ๋ก ์ปดํจํฐ๋ ๋ฐ์ดํฐ์ ๋ฒ์ฃผ๋ฅผ ๊ตฌ๋ถํ์ฌ ๊ฒฝ๊ณ๋ฅผ ๋๋๋ ๊ฒ์ ํ์ต
2. ๋์ด๋ธ ๋ฒ ์ด์ฆ (Naive Bayes)
๊ฐ์
๋จธ์ ๋ฌ๋ ๊ธฐ๋ฒ ์ค ํ๋์ด๋ฉฐ ์ ํต์ ์ผ๋ก ํ ์คํธ ๋ถ๋ฅ๋ฅผ ์ํด ์ฌ์ฉ๋์๋ ์๊ณ ๋ฆฌ์ฆ์ด๋ค. ๊ธฐ๋ณธ ์๋ฆฌ๋ ์กฐ๊ฑด๋ถ ํ๋ฅ ์ ๋ฒ ์ด์ฆ ์ ๋ฆฌ(Baye’s theorem)๋ฅผ ์ ์ฉํ ์๋ฆฌ์ด๋ค.
๋ฒ ์ด์ฆ ์ ๋ฆฌ?
์ด๋ ์กฐ๊ฑด๋ถ ํ๋ฅ ์ ๊ณ์ฐํ๋ ๋ฐฉ๋ฒ์ธ๋ฐ ์์ ๋ค์๊ณผ ๊ฐ๋ค.
P(A ¦ B) = (P(A ∩ B)) / (P(B))
- ์ ์ : ๋ ์ฌ๊ฑด A, B๊ฐ ์๊ณ , ์ฌ๊ฑด B๊ฐ ๋ฐ์ํ ์ดํ์ ์ฌ๊ฑด A๊ฐ ๋ฐ์ํ๋ค๊ณ ๊ฐ์
- ์ ์: ์ฌ๊ฑด B๊ฐ ์ผ์ด๋ ํ ์ฌ๊ฑด A๊ฐ ์ผ์ด๋ ํ๋ฅ
- P(A): ์ฌ๊ฑด A๊ฐ ์ผ์ด๋ ํ๋ฅ
- P(B): ์ฌ๊ฑด B๊ฐ ์ผ์ด๋ ํ๋ฅ = ์ฌ๊ฑด A๊ฐ ๋ฐ์ํ๊ธฐ ์ ์ฌ๊ฑด B๊ฐ ์ผ์ด๋ ํ๋ฅ = ์ฌ์ ํ๋ฅ
- P(A¦B): ์ฌ๊ฑด B๊ฐ ์ผ์ด๋ ํ ์ฌ๊ฑด A๊ฐ ์ผ์ด๋ ํ๋ฅ = ์กฐ๊ฑด๋ถ ํ๋ฅ
- P(B¦A): ์ฌ๊ฑด A๊ฐ ์ผ์ด๋ฌ์ ๋ ์ฌ๊ฑด B๊ฐ ์์ ์ผ์ด๋ฌ์ ํ๋ฅ = ์ฌํํ๋ฅ
ํ ์คํธ ๋ถ๋ฅ

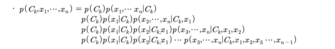
๋ฌธ์๋ ๋ฐ์ดํฐ๋ฅผ ๊ตฌ์ฑํ๋ ๊ฐ ๊ฐ์ ์์๋ค์ด ๋ฑ์ฅํ ํ๋ฅ ์ ๋ํ ๋ ๋ฆฝ์ฑ์ ๊ฐ์ ํ์ฌ ์ ๋ ฅ ๋ฒกํฐ๋ฅผ ํ๋ฅ ์ ์ผ๋ก ๋ถ๋ฅํ๋ค.
์ด๋ฌํ ๋ถ๋ฅ๋ฅผ ์ํํ๋ ์ฐ์ฐ์ ๋ํด ์์ธํ ์์๋ณด์.
์ฒซ ๋ฒ์งธ ์์ ๋ฒ ์ด์ฆ ์ ๋ฆฌ๋ฅผ ํ์ฉํ์ฌ ์๋ก์ด ์๋ฃ๋ฅผ ๊ฐ ๋ถ๋ฅ์ ์ํ ๊ฒ์ธ์ง ํ๋ฅ ์ ๊ณ์ฐํ๋ ์์ด๋ค.

๋ ๋ฒ์งธ ์์ ๋ง์ฝ ๋ฐ์ดํฐ ๊ฐ์ ๋ชจ๋ ๋ณ์์ ๋ ๋ฆฝ์ฑ ๊ฐ์ ์ ํ์ง ์๊ณ ์ด๋ฅผ ๊ณ์ฐํ๊ธฐ ์ํ ์์ธ๋ฐ, ์ด๋ ๋ณ์๊ฐ์ ์ํฅ์ ๊ณ ๋ คํ๊ธฐ ๋๋ฌธ์ ๋งค์ฐ ๋ณต์กํ ์ฐ์ฐ์ ์ํํด์ผ ํ๋ค.

์ธ ๋ฒ์งธ ์์ ๋ ๋ฆฝ์ฑ ๊ฐ์ ์ ํตํด ๊ฐ ํน์ฑ์ ํ๋ฅ ์ ๋ํ ๊ณฑ์ผ๋ก ํํํ ์์ด๋ค. ๋์ด๋ธ ๋ฒ ์ด์ฆ ๋ถ๋ฅ๊ธฐ๊ฐ ๋ ๋ฒ์งธ ์์ ๋ณต์กํจ์ ๋์ด๋ด๊ณ ๊ฐ๋จํ ๊ณ์ฐํ ์ ์๋๋ก ๋ณด์ํ ๊ฒ์ด๋ค.

ํ ์คํธ ๋ถ๋ฅ ์ด์ธ์ ์ฌ์ฉ๋๋ ์ฌ๋ก
๊ฐ์ฅ ๋ํ์ ์ธ ์๋ ๋ทํ๋ฆญ์ค์์ ๋น์ทํ ์ฑํฅ์ ๋ณด์ธ ์ฌ๋๋ค์๊ฒ ์ํ๋ฅผ ์ถ์ฒํด์ค ๋ ์ฌ์ฉ๋๋ ๊ฒ์ด๋ค. ์ธ์ธํ ๊ณผ์ ์ ์ดํด๋ณด๋ฉด ๋ค์๊ณผ ๊ฐ๋ค.
- ํน์ ํ ์ํ๋ฅผ ๋ณด๊ณ A๋ผ๋ ์ฌ๋์ด ์ข์์๋ฅผ ๋๋ฅด๊ณ , B๋ผ๋ ์ฌ๋๋ ์ข์์๋ฅผ ๋๋ ๋ค๋ฉด A์ B๋ ๋น์ทํ ์ฑํฅ์ ๊ฐ์ง ์ฌ๋์ด๋ผ๊ณ ์ผ์ฐจ์ ์ผ๋ก ๋ณผ ์ ์๋ค.
- ํ์ง๋ง ๋ค๋ฅธ ์ํ๋ฅผ ๋ณด๊ณ ๋ ์๋ก ๋ค๋ฅธ ๊ฒฐ๋ก ๋ค์ ๋ณด์๋ค๋ฉด, ๋ณต์กํด์ง๋ค.
- ํ๋ฅ ์ ์ผ๋ก A์ B๊ฐ ์ข์ํ๋ค๊ณ ํํํ ์ํ๋ค, ๋ณ๋ก๋ผ๊ณ ํํํ ์ํ๋ค์ ๋ฐ์ดํฐ์ ๋จ์ ์ํ ๋ฆฌ์คํธ๋ฟ ์๋๋ผ, ๊ทธ ์ํ๋ค์ ์ถ์ฐํ ๋ฐฐ์ฐ๋ค, ์ํ ์ฅ๋ฅด, ์คํ์ผ ๋ฑ์ ๋ค์ํ ๋ถ์ ๋ฐ์ดํฐ๋ค์ ๊ฐ์ํ๊ฒ ๋๋ฉด, ๊ฐ๊ฐ A๋ผ๋ ์ฌ๋๊ณผ B๋ผ๋ ์ฌ๋์ด ํน์ ์ํ๋ฅผ ์ข์ํ ๋งํ ํ๋ฅ ์ ๊ตฌํ๋ ๊ฒ์ ๋งค์ฐ ๋ณต์กํ ๋ค์ฐจ์์ ๋ฌธ์ ๊ฐ ๋๋ค.
- ์ด๊ฒ์ ๋์ด๋ธ ๋ฒ ์ด์ฆ ๋ถ๋ฅ๊ธฐ ์๊ณ ๋ฆฌ์ฆ์ ์จ์ ๊ฐ๊ฐ์ ์ํ, ๋ฐฐ์ฐ, ์ฅ๋ฅด, ์คํ์ผ ๋ฑ์ ๊ฐ ์์๋ค์ ๋ํด A, B ๋ฟ ์๋๋ผ ์๋ง์ ์ฌ๋๋ค์ด ์ง์์ ์ธ ์ข์ํ ํ๋ฅ ๊ฐ์ ๊ณ์ฐํ๊ณ , ๋น์ทํ ์ฑํฅ์ ์ฌ๋๋ค์ ๋ถ๋ฅํ๋ค.
- ๊ฒฐ๋ก ์ ์ผ๋ก ์๋ก์ด C๋ผ๋ ์ฌ๋์ด ๋ทํ๋ฆญ์ค์ ๊ฐ์ ํด ์๋ก์ด ์ํ๋ฅผ ์ถ์ฒ ๋ฐ์ ๋, ๊ธฐ์กด์ ๊ฐ์ฅ ๊ฐ๊น์ด ์ฑํฅ์ ๋ณด์ด๋ ์ฌ๋์๊ฒ ์ข์ ํ๊ฐ๋ฅผ ๋ฐ์๋ ์ํ๋ฅผ ์ ๊ณตํ๋ฉด ์ฑ๊ณตํ ํ๋ฅ ์ด ๊ฐ์ฅ ๋์ ๊ฒ์ด๋ ๊ณ์ฐ์ด ๋์จ๋ค
์ด๋ฌํ ๋ฐฉ์์ผ๋ก ์ฝํ ์ธ ๋ ์ํ์ถ์ฒ์ ์ฐ์ด๊ฑฐ๋ ๊ธฐํ ์ด๋ฉ์ผ ์คํธ ๋ถ๋ฅ, ๋ณด์ ๋ถ์ผ์์์ ์ด์์งํ ํ์ง, ์์ด๋ ์ฌ์ฅ๋ณ ๋ฑ ์ํ๋ฐ์ดํฐ๋ฅผ ํตํ ์ง๋ณ์ง๋จ, ๋ฌธ์ ๋ถ๋ฅ ๋ฑ์ ์์ฃผ ๋ค์ํ๊ฒ ์ฐ์ธ๋ค.
๋์ด๋ธ ๋ฒ ์ด์ฆ ์๊ณ ๋ฆฌ์ฆ์ ์ฅ์ ๊ณผ ๋จ์
๊ฐ์ฅ ํฐ ์ฅ์ ์ ์๋์ ๋ฐ์ดํฐ๋ก ์์ ์ด ์ด๋ฃจ์ด์ง๊ณ ์ฌ๋ฌ ๊ฐ์ ๋ถ๋ฅ ํญ๋ชฉ์ ๋ค๋ฅผ ์ ์๋ค๋ ์ ๊ทธ๋ฆฌ๊ณ ํนํ ๋ ๋ฆฝ๋ณ์์ ์ฐจ์์๊ฐ ์ฆ๊ฐํ ๊ฒฝ์ฐ, ๋ชจํ์ ์ค๋ช ๋ ฅ์ ์ ์งํ๊ธฐ ์ํด ํ์ํ ๋ฐ์ดํฐ ์๊ฐ ๊ธฐํ๊ธ์์ ์ผ๋ก ๋ง์์ง๋ ์ฐจ์์ ์ ์ฃผ ๋ฌธ์ ๋ฅผ ์ํํ ์ ์๋ค๋ ์ ์ด๋ค.
ํ์ง๋ง ๋ชจ๋ ๋ ๋ฆฝ๋ณ์๋ ๋๋ฑํ๊ฒ ์ค์ํ๊ณ ๋ ๋ฆฝ์ ์ด๋ผ๋ ๊ฐ์ ์ ์์กดํ๋ ๋จ์ ์ ๊ฐ๊ณ ์๋ค.
3. KNN(k-nearest neighbor)
๊ฐ์
๊ฐ์ฅ ๊ฐ๋จํ ๋จธ์ ๋ฌ๋ ์๊ณ ๋ฆฌ์ฆ์ผ๋ก ๋น์ทํ ํน์ฑ์ ๊ฐ์ง ๋ฐ์ดํฐ๋ ๋น์ทํ ๋ฒ์ฃผ์ ์ํ๋ ๊ฒฝํฅ์ด ์๋ค๋ ๊ฐ์ ํ์ ์ฌ์ฉ๋๋ค.

์์ ๊ฐ์ด ๋ฐ์ดํฐ๊ฐ ์ฃผ์ด์ก์ ๋, ๋นจ๊ฐ์ ์ธ๋ชจ ๋ฐ์ดํฐ๋ ์ด๋ก์ ๊ทธ๋ฃน๊ณผ ๋ ธ๋์ ๊ทธ๋ฃน ์ค ์ด๋์ ์ํ ๊น?
์ฃผ๋ณ์ ๊ฐ๊น์ด ๋ฐ์ดํฐ๋ค์ด ๋ชจ๋ ๋ ธ๋์์ด๊ธฐ์ "๋ ธ๋ฝ์ ๊ทธ๋ฃน์ ์ํ ๊ฒ์ด๋ค"๋ผ๊ณ ์ถ์ธกํ ์ ์๋ค.
์ด์ฒ๋ผ ์ฃผ๋ณ์ ๊ฐ์ฅ ๊ฐ๊น์ด K๊ฐ์ ๋ฐ์ดํฐ๋ฅผ ๋ณด๊ณ ๋ฐ์ดํฐ๊ฐ ์ํ ๊ทธ๋ฃน์ ํ๋จํ๋ ์๊ณ ๋ฆฌ์ฆ์ด K-NN ์๊ณ ๋ฆฌ์ฆ์ด๋ค.
๊ฐ๋จํ ์๋ฆฌ์ด์ง๋ง, ์ค์ ๋ก ์ด๋ฏธ์ง ์ฒ๋ฆฌ, ๊ธ์/์ผ๊ตด ์ธ์, ์ถ์ฒ ์๊ณ ๋ฆฌ์ฆ, ์๋ฃ ๋ถ์ผ ๋ฑ์์ ๋ง์ด ์ฌ์ฉ๋๋ค.
NN(nearest neighbor)
K-NN์์ NN์ ๋ฌด์์ผ๊น.
์ด๋ ์ต๊ทผ์ ์ด์์ ์ฌ์ฉํ ๋ถ๋ฅ์ด๋ค. ๋ฒ์ฃผ๋ฅผ ์์ง ๋ชปํ๋ ๊ฐ์ฒด์ ๋ฒ์ฃผ๋ฅผ ๋ถ๋ฅ๋์ด ์๋ ๊ฐ์ฅ ์ ์ฌํ ๊ฐ์ฒด์ ๋ฒ์ฃผ๋ก ์ง์ ํ๋ ๋ฐฉ๋ฒ์ด๋ค. ์ฆ, ์ด์ K๊ฐ์ ๊ฐ์ฅ ๊ฐ๊น์ด, ์ต๊ทผ์ ์ด์์ ์ด์ฉํ์ฌ ํ๋ จ ๋ฐ์ดํฐ ์งํฉ์ ์๋ ํ๋ณธ ๊ฐ ์ ์ฌ๋์ ๋ฐ๋ผ ๋ผ๋ฒจ์ด ์ง์ ๋์ง ์์ ํ๋ณธ๋ค์ ๋งค์ฐ ์ง๊ด์ ์ธ ๋ฐฉ๋ฒ์ผ๋ก ๋ถ๋ฅํ๋ค๋ฉด K-NN ๋ถ๋ฅ๊ธฐ๊ฐ ๋๋ ๊ฒ์ด๋ค.
์ ์ฌ๋ ์ธก์ ๋ฐฉ๋ฒ
์ ์ฌ๋๋ฅผ ์ธก์ ํ๋ ๋ฐ๋ ๋ค์ํ ๋ฐฉ๋ฒ์ด ์๋๋ฐ ์ฃผ๋ก ์ ํด๋ฆฌ๋ ๊ฑฐ๋ฆฌ(Euclidean distance)๋ฅผ ์ฌ์ฉํ๋ค.

ํ์ง๋ง ๋ฌด์กฐ๊ฑด ์ ํด๋ฆฌ๋ ๊ฑฐ๋ฆฌ ์ธก์ ๋ฐฉ์์ ์ฌ์ฉํ๋ ๊ฒ์ ์์ ํด์ผ ํ๋๋ฐ, ๋ชจ๋ ๋ฐ์ดํฐ ์ด์ ์ด์ฒ๋ผ ๊ฐ์ ๋ฐฉ์์ผ๋ก ์ฒ๋ฆฌํ๋ฉด ์๊ฐํ์ง ๋ชปํ ๋ณ์์ ์ํด ์ค๋ฅ๊ฐ ์๊ธธ ์ ์๋ค. ๋ฐ๋ผ์ ๊ฑฐ๋ฆฌ์ ์ ๊ณฑ์ ํฉ์ฐํ๊ธฐ ์ ๊ฐ ์นดํ ๊ณ ๋ฆฌ์ ๋ํ ํ๊ท ๊ฑฐ๋ฆฌ๋ฅผ ๋นผ๊ณ ๊ณ์ฐํ๋ ๋ฐฉ์๊ณผ ๊ฐ์ ๋ค์ํ ๊ฑฐ๋ฆฌ ๊ณ์ฐ ์๊ณ ๋ฆฌ์ฆ์ ๋ํ ๋ ผ์๊ฐ ํ์ํ๋ค.
์์๋ก ์ค์ ๋ฐ์ดํฐ์ ๊ฒฝ์ฐ ์ ํด๋ฆฌ๋ ๊ฑฐ๋ฆฌ ์ธก์ ๋ฐฉ์ ์ ์ฌ์ฉํ๊ณ , ๋ฒ์ฃผํ ํน์ ์ด์ง ๋ฐ์ดํฐ์ ๊ฐ์ ์ ํ์ ๋ฐ์ดํฐ๋ ํด๋ฐ ๊ฑฐ๋ฆฌ ์ธก์ ๋ฐฉ์ ์ ์ฌ์ฉํ๋ค.
K-NN ์๊ณ ๋ฆฌ์ฆ์ ํน์ง
์ฃผ์ ํน์ง์ผ๋ก๋ ์ด๋ K์ ๊ฐ์ ๋ฏผ๊ฐํ๊ณ K์ ๋ฐ๋ผ ๋ถ๋ฅ์ ๊ฒฐ๊ณผ๊ฐ ๋ฌ๋ผ์ง ์ ์๋ค๋ ์ ์ด๋ค.

์์๋ก ์์ ๊ฐ์ ์ํฉ์ ๋ณด๋ฉด k=1์ธ ๊ฒฝ์ฐ, ๋นจ๊ฐ์ ์ธ๋ชจ๋ ์ด๋ก์ ๊ทธ๋ฃน์ด๋ผ๊ณ ํ๋จ ๊ทธ๋ฆฌ๊ณ k=3์ธ ๊ฒฝ์ฐ๋ ์ด๋ฅผ ๋ ธ๋์ ๊ทธ๋ฃน์ด๋ผ๊ณ ํ๋จํ๊ธฐ ๋๋ฌธ์ด๋ค.
๋ฐ๋ผ์ ์ต์ ์ k๊ฐ์ ๊ฒฐ์ ํ๋ ๊ฒ์ด ๋งค์ฐ ์ค์ํ๋ฐ, ์ด๋ ๋ฐ์ดํฐ์ ๊ธฐ๋ฐํ์ฌ ๊ฒฐ์ ํ๋๋ฐ ์ผ๋ฐ์ ์ผ๋ก๋ ์ด ๋ฐ์ดํฐ ์์ ์ ๊ณฑ๊ทผ ๊ฐ์ ์ฌ์ฉํ๊ธฐ๋ ํ๋ค. ๋ํ ํญ์ ๋ถ๋ฅ๊ฐ ๊ฐ๋ฅํ๋๋ก K๋ ํ์๋ก ์ค์ ํ๋ ๊ฒ์ด ์ข๋ค.
K์ ๊ฐ์ ํฌ๊ฒ ์ค ๊ฒฝ์ฐ, ๋ฐ์ดํฐ์ ๊ตฌ์กฐ๋ฅผ ํ์ ํ๊ธฐ ์ด๋ ค์์ง๊ณ , ๊ธฐ์กด์ ๋ ๋ง์ด ๋ถ๋ฅ๋์ด ์๋ ์ชฝ์ผ๋ก ํธํฅ๋๋ค. K์ ๊ฐ์ด ์์ ๊ฒฝ์ฐ๋ ๊ทน๋จ์ ์ผ๋ก K=1 ๋ก, ์ด ๊ฒฝ์ฐ ์ด์์น ๋ฐ์ดํฐ์ ์ํฅ์ ๋ง์ด ๋ฐ๋๋ค.



K-NN์ ์ฅ์ ๊ณผ ๋จ์
์ฅ์ ์ผ๋ก๋ ๋จ์ํ๊ธฐ์ ๋ค๋ฅธ ์๊ณ ๋ฆฌ์ฆ์ ๋นํด ๊ตฌํํ๊ธฐ ์ฝ๋ค. ๋ ํ๋ จ ๋ฐ์ดํฐ๋ฅผ ๊ทธ๋๋ก ๊ฐ๊ณ ์์ด ํน๋ณํ ํ๋ จ์ ํ์ง ์๊ธฐ์ ํ๋ จ ๋จ๊ณ๊ฐ ๋งค์ฐ ๋น ๋ฅด๊ฒ ์ํ๋๋ค.
ํ์ง๋ง ๋จ์ ์ผ๋ก๋ ๋ชจ๋ธ์ ์์ฑํ์ง ์๊ธฐ์ ํน์ง๊ณผ ํด๋์ค ๊ฐ ๊ด๊ณ๋ฅผ ์ดํดํ๋๋ฐ ์ ํ์ ์ด๋ค.
๋ชจ๋ธ์ ๊ฒฐ๊ณผ๋ฅผ ๊ฐ์ง๊ณ ํด์ํ๋ ๊ฒ์ด ์๋๋ผ, ๋ฏธ๋ฆฌ ๋ณ์์ ํด๋์ค ๊ฐ์ ๊ด๊ณ๋ฅผ ํ์ ํ์ฌ ์ด๋ฅผ ์๊ณ ๋ฆฌ์ฆ์ ์ ์ฉํด์ผ ์ํ๋ ๊ฒฐ๊ณผ๋ฅผ ์ป์ ์ ์๊ธฐ ๋๋ฌธ์ด๋ค.
๋, ์ ์ ํ K์ ์ ํ์ด ํ์ํ๊ณ , ํ๋ จ ๋จ๊ณ๊ฐ ๋น ๋ฅธ ๋์ ๋ฐ์ดํฐ๊ฐ ๋ง์์ง๋ฉด ๋ถ๋ฅ ๋จ๊ณ๊ฐ ๋๋ฆฌ๋ค
์ถ์ฒ
๋์ด๋ธ ๋ฒ ์ด์ฆ ๊ด๋ จ
- https://zdnet.co.kr/view/?no=20220725093548
[๊ธฐ๊ณ ] AI ์ฝ๊ฒ ์ดํดํ๊ธฐ 3-2, ๋์ด๋ธ ๋ฒ ์ด์ฆ ๋ถ๋ฅ๊ธฐ ์๊ณ ๋ฆฌ์ฆ
๊ธฐ๊ณํ์ต ์๊ณ ๋ฆฌ์ฆ ๋ ๋ฒ์งธ๋ ๋์ด๋ธ ๋ฒ ์ด์ฆ ๋ถ๋ฅ๊ธฐ(Naive Bayes Classifier)๋ค.์ด ์๊ณ ๋ฆฌ์ฆ์ ๊ทธ๋ฆผ 1์์ ํํ๋ ๋ฒ ์ด์ฆ ์ ๋ฆฌ์ ๊ธฐ๋ฐ์ ๋๋ค. ์ด๊ฒ์ ๊ฐ๊ฐ์ ...
zdnet.co.kr
10-05 ๋์ด๋ธ ๋ฒ ์ด์ฆ ๋ถ๋ฅ๊ธฐ(Naive Bayes Classifier)
ํ ์คํธ ๋ถ๋ฅ๋ฅผ ์ํด ์ ํต์ ์ผ๋ก ์ฌ์ฉ๋๋ ๋ถ๋ฅ๊ธฐ๋ก ๋์ด๋ธ ๋ฒ ์ด์ฆ ๋ถ๋ฅ๊ธฐ๊ฐ ์์ต๋๋ค. ๋์ด๋ธ ๋ฒ ์ด์ฆ ๋ถ๋ฅ๊ธฐ๋ ์ธ๊ณต ์ ๊ฒฝ๋ง ์๊ณ ๋ฆฌ์ฆ์๋ ์ํ์ง ์์ง๋ง, ๋จธ์ ๋ฌ๋์ ์ฃผ์ ์๊ณ ๋ฆฌ์ฆ์ผ๋ก …
wikidocs.net
- ๊ฐ์ฑ๊ด, ๊ถ๋ด๊ฒฝ, ๊ถ์ฒ ์ฐ, ๋ฐ์๋ฏผ and ์ค์ผ์. (2018). ๋์ด๋ธ ๋ฒ ์ด์ฆ ๋ถ๋ฅ๊ธฐ๋ฅผ ์ด์ฉํ ๋๋ฐ์ํฉ ๊ฒ์ง ์๊ณ ๋ฆฌ์ฆ ๊ฐ๋ฐ. ํ๊ตญITSํํ ๋ ผ๋ฌธ์ง, 17(6), 25-39.
KNN ๊ด๋ จ
[๋จธ์ ๋ฌ๋] K-์ต๊ทผ์ ์ด์(K-NN) ์๊ณ ๋ฆฌ์ฆ ๋ฐ ์ค์ต
[๋ชฉ์ฐจ] 1. K-NN ์๊ณ ๋ฆฌ์ฆ์ด๋? 2. K-NN ์๊ณ ๋ฆฌ์ฆ ์ค์ต 3. K-NN ์๊ณ ๋ฆฌ์ฆ ์ค์ต (ํ๋ จ ์ ๊ณผ ๋ฐ์ดํฐ ์ ๋ถ๋ฆฌ) 4. K-NN ์๊ณ ๋ฆฌ์ฆ์ ์ฃผ์์ 1. K-NN ์๊ณ ๋ฆฌ์ฆ์ด๋? K-์ต๊ทผ์ ์ด์(K-NN, K-Nearest Neighbor) ์๊ณ ๋ฆฌ์ฆ์ ๊ฐ
rebro.kr
- ์์นํ. "KNN์์ ๋ณ์์ ์ค์๋์ ๊ดํ ๊ณ ์ฐฐ." ๊ตญ๋ด์์ฌํ์๋ ผ๋ฌธ ๊ณ ๋ ค๋ํ๊ต ๋ํ์, 2019. ์์ธ
- https://bangu4.tistory.com/99
[AI] Classification (๋ถ๋ฅ) ๊ฐ๋ ๊ณผ ์๊ณ ๋ฆฌ์ฆ ์ข ๋ฅ
1. Classification(๋ถ๋ฅ) ๋ง ๊ทธ๋๋ก ๋ถ๋ฅ๋ฅผ ๋ปํ๋ Classification์ Supervised learning ์ง๋ํ์ต์ ์ผ์ข ์ผ๋ก ๊ธฐ์กด์ ์กด์ฌํ๋ ๋ฐ์ดํฐ์ Category ๊ด๊ณ๋ฅผ ํ์ ํ๊ณ , ์๋กญ๊ฒ ๊ด์ธก๋ ๋ฐ์ดํฐ์ Category๋ฅผ ์ค์ค๋ก ํ
bangu4.tistory.com